3.1. Profil podłużny i plan toru na szlaku
3.1.1. Zasady podstawowe projektowania pochyleń
3.1.1.1. Wielkość pochylenia miarodajnego dla projektowanej linii powinna być ustalona w oparciu o przewidywane w zatwierdzonych założeniach techniczno-ekono-micznych inwestycji wielkości przewozów, istniejące warunki topograficzne, przyjęty rodzaj trakcji oraz typ i moc lokomotyw.
3.1.1.2. Pochylenie miarodajne jest to największe dopuszczalne pochylenie na prostej, na łuku zwiększone o opór na łuku wyrażony w kG/t lub °/0o przyjęte do obliczenia największego ciężaru pociągu przewidzianego na tej linii.
3.1.1.3. Wielkość pochylenia miarodajnego przy projektowaniu linii nie powinna przekraczać wartości podanych w tablicy 1.
Tablica 1
| Lp. | Kategoria linii | Największe pochylenie miarodajne w °/oo przy trakcji | |
| pojedynczej | podwójnej | ||
| 1 | 2 | 3 | 4 |
| 1 | I, II | 20 | 30 |
| 2 | III | 25 | 40 |
3.1.1.4. Na liniach z wyraźnie zaznaczającymi się kierunkami ładownymi, gdy potok ładunków w kierunku próżnym jest mniejszy niż 0,6 potoku ładownego i nie przewiduje się przy wzroście ruchu w przyszłości zmian w tym zakresie, można stosować w kierunku próżnym pochylenia miarodajne zwiększone do 20°/o w stosunku do pochyleń przyjętych dla kierunku ładownego.
3.1.1.5. W wyjątkowych przypadkach uzasadnionych względami ekonomicznymi można projektować pochylenia miarodajne większe od dopuszczalnych, pod warunkiem stosowania trakcji podwójnej i potwierdzenia tej możliwości odpowiednimi obliczeniami techniczno-ekonomicznymi.
3.1.2. Pochylenia profilu w łukach
3.1.2.1. Pochylenia profilu podłużnego w łukach powinny być tak projektowane, aby łączny opór pochylenia rzeczywistego i dodatkowy opór w łuku nie przekraczał pochylenia miarodajnego.
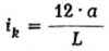
3.1.2.2. Dodatkowy opór w łuku, wyrażony w 0/00, określa się według wzoru:

gdzie:
ik - dodatkowy opór w łuku w %o
R - promień łuku w metrach.
3.1.2.3. Na łukach krótkich położonych blisko siebie, profil podłużny należy pro-, jektować wspólnym pochyleniem zastępczym, określając opór dodatkowy w łuku według wzoru:
![]()
gdzie:
ik - dodatkowy opór w łuku w °/oo
L - długość projektowanego odcinka w metrach
a - suma arytmetyczna kątów środkowych wszystkich łuków na
projektowanym odcinku wyrażona w stopniach.
3.1.2.4. Na łukach i na krzywych przejściowych należy w miarą możliwości unikać projektowania załomów profilu podłużnego.
3.1.3. Wstawki przy załomach profilu
3.1.3.1. Ostre załomy profilu podłużnego należy w miarą możliwości łagodzić za pomocą wstawek poziomych lub odcinków o pośrednim pochyleniu.
3.1.3.2. Pochylenia odwrotnego kierunku większe niż 40/0o powinny być przedzielone odcinkami poziomymi lub o pochyleniu nie większym niż 4°/00.
3.1.4. Długość odcinków profilu podłużnego
3.1.4.1. Odcinki profilu podłużnego o jednostajnym pochyleniu należy projektować możliwie długie. Najmniejsze długości tych odcinków podane są w tablicy 2.
Tablica 2
| Lp. | Kategoria linii | Najmniejsza długość odcinka profilu podłużnego o jednostajnym pochyleniu w metrach przy miarodajnym pochyleniu kierunku ładownego w %o | ||
| 6-7%o | 8-12%o | 13-30%o | ||
| 1 | 2 | 3 | 4 | 5 |
| 1 | I. II | 200 m | 150 m | 100 m |
| 2 | III | 100 m | 75 m | 50 m |
3.1.5. Szczególne ograniczenie pochyleń profilu
Pochylenie profilu podłużnego torów położonych w przekopach nie powinno być mniejsze niż 2%o
3.1.6. Zaokrąglenie załomów profilu podłużnego
3.1.6.1. Załomy profilu podłużnego należy zaokrąglać w płaszczyźnie pionowej w przypadku, gdy suma dwóch sąsiednich pochyleń odwrotnych lub różnica dwóch pochyleń jednakowego kierunku jest większa niż 4%o.
3.1.6.2. Zaokrąglenie załomów, o którym mowa w ust,
3.1,6.1., należy wykonać łukami o promieniu:
1) 2000 do 5000 m dla linii I i II kategorii,
2) 1000 m dla linii III kategorii oraz dla wszystkich torów
bocznych.
3.1.6.3. Nie należy zaokrąglać załomu profilu podłużnego, gdy odległość punktu przecięcia kierunków pochyleń do łuku zaokrąglającego, liczona w kierunku prostopadłym do łuku, zwana dalej strzałką łuku, jest mniejsza niż 0,008 m.
3.1.6.4. Obliczenie strzałki łuku należy przeprowadzać według wzoru:

gdzie:
f - strzałka łuku w m
R - promień łuku w m
n - suma względnie różnica pochyleń w %o.
Wielkość strzałki łuku f dla niektórych promieni łuku i dla różnych wielkości sumy lub różnicy pochyleń n podaje tablica 3.
Dla promieni łuków o wielkościach pośrednich w stosunku do wielkości podanych w tablicy 3, należy stosować zasadę interpolacji liniowej.
3.1.6.5. Długość stycznej łuku zaokrąglającego należy obliczać według wzoru:

gdzie:
t - długość stycznej luku do punktu przecięcia kierunków
pochyleń w m
R - promień łuku w m
n - suma względnie różnica pochyleń w %o
Tablica 3
| Wartość sumy lub różnicy pochyleń n |
Wielkość
strzałki luku w m przy promieniach luku R w m |
||||
| 3000 | 4000 | 5000 | 2000 | 1000 | |
| 1 | 2 | 3 | 4 | 5 | 6 |
| 3,5 | 0,008 | ||||
| 4,0 | 0,010 | 0,008 | |||
| 4,5 | 0,013 | 0,010 | 0,008 | ||
| 5,0 | 0,016 | 0,012 | 0,009 | ||
| 5,5 | 0,019 | 0,015 | 0,011 | 0,008 | |
| 6,0 | 0,023 | 0,018 | 0,014 | 0,009 | |
| 6,5 | 0,026 | 0,021 | 0,016 | 0,010 | |
| 7,0 | 0,031 | 0,024 | 0,018 | 0,012 | |
| 8,0 | 0,040 | 0,032 | 0,024 | 0,016 | 0,008 |
| 9,0 | 0,051 | 0,040 | 0,030 | 0,020 | 0,010 |
| 10,0 | 0,063 | 0,050 | 0,038 | 0,025 | 0,013 |
| 11,0 | 0,076 | 0,060 | 0,045 | 0,030 | 0,015 |
| 12,0 | 0,090 | 0,072 | 0,054 | 0,036 | 0,018 |
| 13,0 | 0,106 | 0,084 | 0,063 | 0,042 | 0,021 |
| 14,0 | 0,123 | 0,098 | 0,074 | 0,049 | 0,025 |
| 15,0 | 0,141 | 0,112 | 0,084 | 0,056 | 0,028 |
| 16,0 | 0,160 | 0,128 | 0,096 | 0,064 | 0,032 |
| 17,0 | 0,181 | 0,144 | 0,108 | 0,072 | 0,036 |
| 18,0 | 0,203 | 0,162 | 0,121 | 0,081 | 0,041 |
| 19,0 | 0,226 | 0,180 | 0,135 | 0,090 | 0,045 |
| 20,0 | 0,250 | 0,200 | 0,150 | 0,100 | 0,050 |
| 21,0 | 0,276 | 0,220 | 0,165 | 0,110 | 0,055 |
| 22,0 | 0,303 | 0,242 | 0,182 | 0,121 | 0,061 |
| 23,0 | 0,331 | 0,264 | 0,198 | 0,132 | 0,066 |
| 24,0 | 0,360 | 0,288 | 0,216 | 0,144 | 0,072 |
| 25,0 | 0,391 | 0,312 | 0,234 | 0,156 | 0,078 |
| 26,0 | 0,423 | 0,338 | 0,253 | 0,169 | 0,085 |
| 27,0 | 0,456 | 0,364 | 0,273 | 0,182 | 0,091 |
| 28,0 | 0,490 | 0,392 | 0,294 | 0,196 | 0,098 |
| 29,0 | 0,526 | 0,420 | 0,315 | 0,210 | 0,105 |
| 30,0 | 0,563 | 0,450 | 0,338 | 0,225 | 0,113 |
| 31,0 | 0,601 | 0,480 | 0,360 | 0,240 | 0,120 |
| 32,0 | 0,640 | 0,512 | 0,384 | 0,256 | 0,128 |
| 33,0 | 0,681 | 0,544 | 0,408 | 0,272 | 0,136 |
| 34,0 | 0,723 | 0,578 | 0,434 | 0,289 | 0,145 |
| 35,0 | 0,766 | 0,612 | 0,459 | 0,306 | 0,153 |
| 36,0 | 0,810 | 0,648 | 0,486 | 0,324 | 0,162 |
| 37,0 | 0,856 | 0,684 | 0,513 | 0,342 | 0,171 |
| 38,0 | 0,903 | 0,722 | 0,541 | 0,361 | 0,181 |
| 39,0 | 0,951 | 0,760 | 0,570 | 0,380 | 0,190 |
| 40,0 | 1,000 | 0,800 | 0,600 | 0,400 | 0,200 |
Długość stycznej łuku dla różnych promieni łuku i różnych wielkości sumy lub różnicy pochyleń n podaje tablica 4.
Dla promieni łuków o wielkościach pośrednich w stosunku do wielkości podanych w tablicy 4, należy stosować zasadę interpolacji liniowej.
Tablica 4
| Wartość n w °/oo |
Długość
stycznej łuku t w m przy promieniach łuku R w m |
||||
| 5000 | 4000 | 3000 | 2000 | 1000 | |
| 1 | 2 | 3 | 4 | 5 | 6 |
| 3,5 | 8,75 | ||||
| 4,0 | 10,00 | 8,00 | |||
| 4,5 | 11,25 | 9,00 | 6,75 | ||
| 5,0 | 12,50 | 10,00 | 7,50 | ||
| 5,5 | 13,75 | 11,00 | 8,25 | 5,50 | |
| 6,0 | 15,00 | 12,00 | 9,00 | 6,00 | |
| 6,5 | 16,25 | 13,00 | 9,75 | 6,50 | |
| 7,0 | 17,50 | 14,00 | 10,50 | 7,00 | |
| 8,0 | 20,00 | 16,00 | 12,00 | 8,00 | 4,00 |
| 9,0 | 22,50 | 18,00 | 13,50 | 9,00 | 4,50 |
| 10,0 | 25,00 | 20,00 | 15,00 | 10,00 | 5,00 |
| 11,0 | 27,50 | 22,00 | 16,50 | 11,00 | 5,50 |
| 12,0 | 30,00 | 24,00 | 18,00 | 12,00 | 6,00 |
| 13,0 | 32,50 | 26,00 | 19,50 | 13,00 | 6,50 |
| 14,0 | 35,00 | 28,00 | 21,00 | 14,00 | 7,00 |
| 15,0 | 37,50 | 30,00 | 22,50 | 15,00 | 7,50 |
| 16,0 | 40,00 | 32,00 | 24,00 | 16,00 | 8,00 |
| 17,0 | 42,50 | 34,00 | 25,50 | 17,00 | 8,50 |
| 18,0 | 45,00 | 36,00 | 27,00 | 18,00 | 9,00 |
| 19,0 | 47,50 | 38,00 | 28,50 | 19,00 | 9,50 |
| 20,0 | 50,00 | 40,00 | 30,00 | 20,00 | 10,00 |
| 21,0 | 52,50 | 42,00 | 31,50 | 21,00 | 10,50 |
| 22,0 | 55,00 | 44,00 | 33,00 | 22,00 | 11,00 |
| 23,0 | 57,50 | 46,00 | 34,50 | 23,00 | 11,50 |
| 24,0 | 60,00 | 48,00 | 36,00 | 24,00 | 12,00 |
| 25,0 | 62,50 | 50,00 | 37,50 | 25,00 | 12,50 |
| 26,0 | 65,00 | 52,00 | 39,00 | 26,00 | 13,00 |
| 27,0 | 67,50 | 54,00 | 40,50 | 27,00 | 13,50 |
| 28,0 | 70,00 | 56,00 | 42,00 | 28,00 | 14,00 |
| 29,0 | 72,50 | 58,00 | 43,50 | 29,00 | 14,50 |
| 30,0 | 75,00 | 60,00 | 45,00 | 30,00 | 15,00 |
| 31,0 | 77,50 | 62,00 | 46,50 | 31,00 | 15,50 |
| 32,0 | 80,00 | 64,00 | 48,00 | 32,00 | 16,00 |
| 33,0 | 82,50 | 66,00 | 49,50 | 33,00 | 16,50 |
| 34,0 | 85,00 | 68,00 | 51,00 | 34,00 | 17,00 |
| 35,0 | 87,50 | 70,00 | 52,50 | 35,00 | 17,50 |
| 36,0 | 90,00 | 72,00 | 54,00 | 36,00 | 18,00 |
| 37,0 | 92,50 | 74,00 | 55,50 | 37,00 | 18,50 |
| 38,0 | 95,00 | 76,00 | 57,00 | 38,00 | 19,00 |
| 39,0 | 97,50 | 78,00 | 58,50 | 39,00 | 19,50 |
| 40,0 | 100,00 | 80,00 | 60,00 | 40,00 | 20,00 |
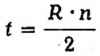
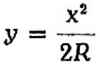
3.1.6.6. Rządne łuku zaokrąglającego w dowolnym punkcie na stycznej luku należy obliczać wedłua wzoru:

gdzie:
y - rzędna łuku w m odniesiona do stycznej łuku
x - odcięta na osi stycznej liczona w m od początku stycznej
R - promień łuku w m.
Wielkość rzędnych łuku dla różnych wielkości promieni łuku i w różnych punktach osi odciętych podaje tablica 5.
Tablica 5
| Odcięta X |
Rzędna łuku y w m przy promieniach łuku R w m | ||||
| w m | 5000 | 4000 | 3000 | 2000 | 1000 |
| 1 | 2 | 3 | 4 | 5 | 6 |
| 5,0 | 0,002 | 0,003 | 0,004 | 0,006 | 0,012 |
| 10,0 | 0,010 | 0,012 | 0,017 | 0,025 | 0,050 |
| 15,0 | 0,022 | 0,028 | 0,038 | 0,056 | 0,112 |
| 20,0 | 0,040 | 0,050 | 0,067 | 0,100 | 0,200 |
| 25,0 | 0,062 | 0,078 | 0,104 | 0,156 | |
| 30,0 | 0,090 | 0,112 | 0,150 | 0,225 | |
| 35,0 | 0,122 | 0,153 | 0,204 | 0,306 | |
| 40,0 | 0,160 | 0,200 | 0,267 | 0,400 | |
| 45,0 | 0,202 | 0,253 | 0,338 | ||
| 50,0 | 0,250 | 0,312 | 0,417 | ||
| 55,0 | 0,302 | 0,378 | 0,504 | ||
| 60,0 | 0,360 | 0,450 | 0,600 | ||
| 65,0 | 0,422 | 0,528 | |||
| 70,0 | 0,490 | 0,612 | |||
| 75,0 | 0,562 | 0,703 | |||
| 80,0 | 0,640 | 0,800 | |||
| 85,0 | 0,722 | ||||
| 90,0 | 0,810 | ||||
| 95,0 | 0,902 | ||||
| 100,0 | 1,000 | ||||
Dla promieni łuków o wielkościach pośrednich w stosunku do wielkości podanych w tablicy 5, należy stosować zasadę interpolacji liniowej.
3.1.6.7. Zasadnicze zaokrąglenie załomu należy wykonać w podtorzu, w przypadku zaś gdy rzędne łuku są mniejsze od 0,08 m można wykonać zaokrąglenie przez zmianę grubości podsypki.
3.1.6.8. Łuki zaokrąglające załomy profilu podłużnego nie mogą zachodzić na dżwi-gary mostowe, a odległość początku łuku od dżwigaru powinna wynosić co najmniej 6,0 m.
3.1.6.9. Na łukach zaokrąglających załomy mogą być ułożone rozjazdy, jeżeli łuki te są wklęsłe. Na łukach wypukłych rozjazdy mogą być układane jedynie wówczas, gdy promień łuku zaokrąglającego jest większy od 2000 m. W pozostałych przypadkach początek łuku zaokrąglającego powinien być odsunięty od końca rozjazdu co najmniej na odległość 6,0 m.
3.1.7. Promienie łuków poziomych
3.1.7.1. Promienie poziomych łuków kołowych na szlaku powinny być możliwie duże, a wielkości tych promieni należy przyjmować w granicach od 100 do 2000 m - w zasadzie jako wielokrotność liczby 100 dla promieni od 400 m do 2O00 m oraz jako wielokrotność liczby 50 dla promieni poniżej 400 m.
3.1.7.2. W zależności od kategorii linii kolejowej
promienie łuków kołowych nie powinny być mniejsze niż:
1) 200 m dla linii I kategorii,
2) 150 m dla linii II kategorii,
3) 100 m dla linii III kategorii,
3.1.7.3. W wyjątkowych przypadkach dopuszcza się stosowanie
w torach głównych łuków o promieniach mniejszych od
wielkości podanych w ust. 3.1.7.2., lecz nie mniejszych niż 75
m w następujących warunkach:
1) w wyjątkowo trudnych warunkach terenowych,
2) na objazdach i podejściach do skrzyżowań z
istniejącymi kolejami,
3) na podejściach do stacji węzłowych, miast i większych
obiektów, łuków, zależne od projektowanej szybkości jazdy,
należy przyjmować według ustaleń tablicy 6.
4) na podejściach do wiaduktów i przystani,
5) na podejściach do wytwórni i składów.
3.1.7.4. Konieczność zastosowania promieni luków wyjątkowo zmniejszonych, o których mowa w ust. 3.1.7.3., powinna być każdorazowo należycie uzasadniona w projekcie wraz z analizą skutków ekonomicznych w razie uwzględnienia przepisowych promieni poszczególnych łuków, podanych w ust. 3.1.7.2.
3.1.8. Poszerzenie toru w łukach
3.1.8.1. Przy projektowaniu łuków o promieniu poniżej 300 m
należy stosować poszerzenie toru, którego wielkość należy
przyjmować:
1) 5 mm w łukach o promieniach mniejszych niż 275 m, lecz nie
mniejszych niż 180 m,
2) 10 mm w Jukach o promieniach mniejszych niż 180 m, lecz nie
mniejszych niż 90 m,
3) 15 mm - w łukach o promieniach mniejszych niż 90 m.
3.1.8.2. Poszerzenie toru, o którym mowa w ust. 3.1.8.1., riależy projektować przez odsunięcie szyny toku wewnętrznego toru w kierunku środka łuku.
3.1.8.3. Uzyskanie ostatecznej wielkości wymaganego poszerzenia toru należy projektować stopniowo na długości krzywej przejściowej. W przypadku braku krzywej przejściowej stopniowe poszerzenie toru do wymaganej wielkości powinno być projektowane na prostej w ten sposób, aby całkowite poszerzenie toru przypadło w punkcie początkowym łuku.
3.1.9. Krzywe przejściowe
3.1.9.1. W torach głównych na szlaku, przejścia między prostą i łukiem o promieniu równym lub mniejszym niż 300 m, powinny być łagodzone za pomocą krzywych przejściowych. Krzywe przejściowe należy również stosować między dwoma łukami o dwóch jednakowych lub różnych promieniach nie przekraczających 300 m.
3.1.9.2. Długości krzywych przejściowych dla najczęściej występujących promieni
Tablica 6 Tablica długości krzywych przejściowych
| Promień łuku R [m] |
Długość krzywej przejściowej w m dla szybkości jazdy w km/godz. | |||||||
| 20 | 25 | 30 | 35 | 40 | 45 | 50 | 55 | |
| 1 | 2 | 3 | 4 | 5 | 6 | 7 | 8 | 9 |
| 75 | 15 | 20 | 30 | |||||
| 100 | 10 | 20 | 25 | 30 | ||||
| 125 | 10 | 15 | 20 | 30 | 35 | |||
| 150 | 10 | 10 | 20 | 20 | 30 | |||
| 175 | 10 | 10 | 15 | 20 | 25 | 30 | ||
| 200 | 10 | 10 | 15 | 20 | 20 | 30 | 35 | |
| 225 | 10 | 10 | 15 | 20 | 25 | 30 | ||
| 250 | 10 | 10 | 15 | 20 | 20 | 25 | 30 | |
| 275 | 10 | 10 | 15 | 20 | 20 | 25 | 30 | |
| 300 | 10 | 10 | 10 | 15 | 20 | 20 | 30 | |
| 350 | 10 | 10 | 15 | 15 | 20 | 20 | ||
| 400 | 10 | 10 | 10 | 15 | 20 | 20 | ||
| 450 | 10 | 10 | 10 | 15 | 15 | 15 | ||
| 500 | 10 | 10 | 10 | 15 | 15 | |||
| 600 | 10 | 10 | 10 | 15 | 15 | |||
| 700 | 10 | 10 | 10 | 10 | ||||
| 800 | 10 | 10 | 10 | |||||
| 900 | 10 | 10 | 10 | |||||
| 1000 | 10 | 10 | ||||||
| 1500 | 10 | 10 | ||||||
| 2000 | 10 | |||||||
3.1.9.3. W razie potrzeby ustalania długości krzywej przejściowej dla promieni łuków, nie wykazanych w tablicy 6, należy długość tę obliczać według wzoru:
![]()
gdzie:
l - długość krzywej przejściowej w m
h - przechyłka toru dla przyjętej szybkości i promienia łuku
w mm.
3.1.9.4. Punkty końcowe krzywych przejściowych powinny być oddalone od rozjazdów oraz od dźwigarów mostów, na których układa się tor bez podsypki, jak również od początku łuku zaokrąglającego załom profilu podłużnego, co najmniej o 6,0 m.
3.1.10. Przechyłka toru
3.1.10.1. Przechyłki toru należy stosować na łukach o promieniach mniejszych niż 2000 m.
3.1.10.2. Przechyłkę toru wykonuje się przez podniesienie szyn toku zewnętrznego ponad poziom szyn toku wewnętrznego w łuku.
3.1.10.3. Wielkość przechyłki toru zależna jest od założonej szybkości pociągów oraz promienia łuku i nie może przekraczać 80 mm.
W torach przystosowanych do przewozu wagonów normalnotorowych na transporterach, wielkość przechyłki toru należy ograniczyć, przy czym przechyłka ta nie może być większa niż 40 mm.
3.1.10.4. W przypadku kursowania po torach transporterów i innych pociągów z szybkością wymagającą większej przechyłki, szybkość tych pociągów na łukach należy odpowiednio ograniczyć tak, aby odpowiadała przechyłce o wielkości 40 mm.
3.1.10.5. Przechyłkę toru oblicza się według wzoru:

gdzie:
h - wielkość przechyłki w mm
V - szybkość techniczna najszybszego pociągu na danej linii w
km/godz.
R - promień łuku w m.
Wynik obliczenia wielkości przechyłki toru zaokrągla się do 5 mm. Wielkość przechyłek toru w łukach dla różnych promieni i szybkości podaje tablica 7.
3.1.10.6. Przejście od odcinka toru bez przechyłki do odcinka toru z przechyłka lub od mniejszej przechyłki do większej należy wykonać na rampie przechyłkowej.
3.1.10.7. Rampę przechyłkową należy wykonać na długości krzywej przejściowej, a jeśli krzywa przejściowa nie występuje, to na odcinku prostej przed łukiem.
3.1.10.8. Pochylenie rampy przechyłkowej nie powinno być większe niż 1 :400.
3.1.11. Warunki ogólne dla profilu i planu toru na szlaku
3.1.11.1. Łuki kołowe w planie powinny być oddzielone
wstawkami prostymi, których długość powinna umożliwić
wykonanie krzywych przejściowych (względnie przejść
wyrównujących przechyłki) z pozostawieniem odcinków prostych
o długości co najmniej:
1) 20 m dla linii kategorii I i II,
2) 10 m dla linii kategorii III.
3.1.11.2. Odległość pomiędzy osiami sąsiednich torów
na odcinkach prostych szlaku powinna być nie mniejsza niż:
1) 3,00 m - pomiędzy torami wąskimi,
2) 3,70 m - pomiędzy torem wąskim i normalnym,
3) 4,00 m - pomiędzy torami wąskimi, po których przewiduje
się kursowanie pociągów transporterowych.
3.1.11.3. W przypadku przebudowy linii istniejących, dopuszcza się na utrzymanie mniejszej odległości pomiędzy osiami torów wąskiego i normalnego, niż podana w ust. 3.1.11.2. pkt. 2, jednak nie mniejszej niż 3,50 m.
3.1.11.4. Przy projektowaniu toru w łukach lub w przypadku ustawiania na międzytorzu wskaźników, słupów, ogrodzenia lub innych elementów, odległości pomiędzy osiami torów powinny być poszerzone z uwzględnieniem zasad obowiązujących na terenach stacyjnych.
3.1.11.5. Odległość między osiami toru i najbliższą krawędzią twardej jezdni drogi kołowej nie powinna być mniejsza niż 3,00 m.
3.1.11.6. Położenie osi toru na prostej, na łukach i na krzywych przejściowych powinno być oznaczone wskaźnikami.
Wskaźniki powinny być ustawione w odległości 1,5 m od miejsca projektowanej osi torów.
Tablica 7 Tablica przechyłki toru w łukach
| Promień łuku R w m | Szybkość w km/godz. | |||||||||
| 10 | 15 | 20 | 25 | 30 | 35 | 40 | 45 | 50 | 55 | |
| Wielkość przechyłki toru w mm | ||||||||||
| 1 | 2 | 3 | 4 | 5 | 6 | 7 | 8 | 9 | 10 | 11 |
| 50 | 15 | 30 | 50 | 80 | ||||||
| 75 | 10 | 20 | 35 | 55 | 75 | |||||
| 100 | 10 | 15 | 25 | 40 | 55 | 80 | ||||
| 125 | 5 | 10 | 20 | 30 | 45 | 65 | 80 | |||
| 150 | 5 | 10 | 20 | 25 | 40 | 50 | 70 | |||
| 175 | 5 | 10 | 15 | 25 | 35 | 45 | 60 | 75 | ||
| 200 | 5 | 10 | 15 | 20 | 30 | 40 | 50 | 65 | 80 | |
| 225 | 5 | 10 | 20 | 25 | 35 | 45 | 60 | 70 | ||
| 250 | 5 | 10 | 15 | 25 | 30 | 40 | 50 | 65 | 70 | |
| 275 | 5 | 10 | 15 | 20 | 30 | 35 | 45 | 60 | 65 | |
| 300 | 5 | 10 | 15 | 20 | 25 | 35 | 40 | 55 | 60 | |
| 350 | 5 | 10 | 10 | 15 | 20 | 30 | 35 | 45 | 50 | |
| 400 | 5 | 10 | 10 | 15 | 20 | 25 | 30 | 40 | 45 | |
| 450 | 5 | 5 | 10 | 15 | 20 | 25 | 30 | 35 | 40 | |
| 500 | 5 | 5 | 10 | 10 | 15 | 20 | 25 | 30 | 35 | |
| 600 | 5 | 5 | 10 | 15 | 15 | 20 | 25 | 30 | ||
| 700 | 5 | 5 | 10 | 10 | 15 | 15 | 20 | 25 | ||
| 800 | 5 | 5 | 10 | 10 | 15 | 20 | 25 | |||
| 900 | 5 | 5 | 10 | 10 | 15 | 20 | 20 | |||
| 1000 | 5 | 5 | 10 | 10 | 10 | 15 | 20 | |||
| 1100 | 5 | 5 | 10 | 10 | 10 | 15 | 20 | |||
| 1200 | 5 | 5 | 5 | 10 | 10 | 15 | 15 | |||
| 1300 | 5 | 5 | 5 | 10 | 10 | 15 | 15 | |||
| 1400 | 5 | 5 | 5 | 10 | 10 | 10 | 15 | |||
| 1500 | 5 | 5 | 5 | 5 | 10 | 10 | 15 | |||
| 1600 | 5 | 5 | 5 | 10 | 10 | 10 | ||||
| 1700 | 5 | 5 | 5 | 10 | 10 | 10 | ||||
| 1800 | 5 | 5 | 5 | 5 | 10 | 10 | ||||
| 1900 | 5 | 5 | 5 | 5 | 10 | 10 | ||||
| 2000 | 5 | 5 | 5 | 5 | 10 | 10 | ||||
3.2. Profil podłużny i plan torów na stacji
3.2.1. Profil podłużny torów na stacjach
3.2.1.1. Tory główne zasadnicze i tory główne dodatkowe na stacjach i mijankach oraz tory naładunkowe, wyładunkowe i postojowe powinny być projektowane zasadniczo na odcinkach poziomych. Jedynie w wyjątkowo trudnych warunkach terenowych dopuszcza się projektowanie tych torów częściowo lub całkowicie na pochyleniu nie większym jednak niż 2,5°/00.
3.2.1.2. Na mijankach i przystankach osobowych, na których nie przewiduje się pracy manewrowej z odczepianiem i doczepianiem wagonów lub lokomotyw do pociągu, w przypadku występowania wyjątkowo trudnych warunków terenowych, pochylenie torów może być projektowane ponad 2,5%o do 7%o; zaprojektowanie pochylenia od 7%o do 10%o wymaga uzyskania zgody Ministerstwa Komunikacji.
3.2.1.3. Przy projektowaniu mijanek, ładowni i przystanków osobowych oraz podejść do semaforów wjazdowych na pochyleniach większych niż 2,5%o, należy uwzględnić w obliczeniach dodatkowy opór przy ruszaniu pociągów z miejsca, nie mniejszy niż 5 kg/t.
3.2.1.4. Tory wyciągowe powinny być projektowane na odcinkach poziomych lub na pochyleniu w kierunku torów rozrządowych, nie większym niż 2,5%o.
3.2.1.5. Tory przeznaczone dla postoju załadowanych transporterów powinny być projektowane w poziomie lub na pochyleniu, nie większym niż l,5%o.
3.2.1.6. Wszystkie tory w budynkach powinny być projektowane w poziomie.
3.2.1.7. Tory trójkątów obrotowych mogą być projektowane na pochyleniu, lecz nie większym niż 20%o, z tym że największe pochylenie toru oporowego trójkąta obrotowego nie może przekroczyć 5%o.
3.2.1.8. Tory trakcyjne przeznaczone wyłącznie do kursowania pojedynczych lokomotyw mogą być projektowane na pochyleniu nie większym niż 4O%o.
3.2.1.9. Rozjazdy powinny być projektowane na tych samych pochyleniach co tory stacyjne. W przypadku występowania wyjątkowo trudnych warunków terenowych rozjazdy wjazdowe mogą być projektowane na pochyleniach przyległych szlaków.
3.2.1.10. Załomy profilu podłużnego powinny być zaokrąglone w płaszczyźnie pionowej łukiem o promieniu nie mniejszym niż 2000 m. W obrębie stacji, jak i na dojściach do nich mogą być zmniejszone do 1000 m.
3.2.2. Łuki poziome
3.2.2.1. Stacje i mijanki powinny być projektowane w zasadzie na odcinkach prostych. W wyjątkowych przypadkach stacje lub mijanki mogą być projektowane na łukach o jednym kierunku, z tym że promień łuku nie może być mniejszy niż 300 m, a wyjątkowo za zgodą Ministerstwa Komunikacji - niż 200 m.
3.2.2.2. Promienie łuków w torach głównych zasadniczych i dodatkowych na stacjach i mijankach nie powinny być mniejsze niż na przyległych szlakach zgodnie z postanowieniami ust. 3.1.7.
3.2.2.3. Łuki kołowe w torach bocznych na stacjach i mijankach należy projektować przy zachowaniu minimalnego promienia łuku 60 m, z tym że wielkość tego promienia w trójkątach obrotowych może być zmniejszona do 50 m.
3.2.2.4. W torach naładunkowych i wyładunkowych położonych w łuku, promień łuku na długości frontu ładunkowego nie może być mniejszy niż 100 m, a przy torach położonych wzdłuż wysokich ramp - niż 300 m.
3.2.2.5. W łukach kołowych wszystkich torów stacyjnych nie należy projektować przechyłki i krzywych przejściowych.
3.2.2.6. W torach bocznych pomiędzy łukami kołowymi nie należy projektować wstawek prostych.
3.2.3. Odległości między osiami torów
3.2.3.1. Na stacjach i mijankach oraz ładowniach odległość między osiami sąsiednich torów na odcinkach prostych nie powinna być mniejsza od wielkości podanych w tablicy 8.
3.2.3.2. Przy ustawianiu na międzytorzu urządzeń lub budowli (żurawie wodne, sygnały, ogrodzenia, słupy energetyczne, słupy telefoniczne itp.) odległość między osiami torów powinna uwzględniać zachowanie skrajni budowli od osi sąsiedniego toru do urządzenia lub budowli znajdującej się na międzytorzu.
3.2.3.3. Przy projektowaniu mechanizacji naładunku i wyładunku odległość między osiami sąsiednich torów powinna być odpowiednio zwiększona w zależności od konstrukcji mechanizmów przewidzianych do stosowania.
3.2.3.4. Odległość między osiami sąsiednich torów, po których przewidziane jest kursowanie pociągów transporterowych, w miejscu ustawienia słupa ukresowego, nie powinna być mniejsza niż 3,58 m.
Tablica 8 Odległości między osiami torów
| Lp. | Przeznaczenie torów | Odległości między osiami sąsiednich torów w m | |
| wąskich | wąskiego z normalnym | ||
| 1 | 2 | 3 | 4 |
| 1 | Tory główne zasadnicze i dodatkowe oraz sąsiadujące z nimi | 4,00 | 4,50 |
| 2 | Tory naprawcze | 5,00 | - |
| 3 | Tor główny i wyciągowy | 4,00 | - |
| 4 | Tory rozrządowe i tory w grupie przy-jazdowo-odjazdowej | 4,00 | 4,50 |
| 5 | Tory przeładunkowe | 3,00 | 3,30 |
| 6 | Tory postojowe | 4,00 | 4,50 |
| 7 | Tory z peronem międzytorowym dla pociągów: 1) zwykłych |
5,10 | 5,50 |
| 2) transporterowych | 5,75 | ||
| 8 | Tory przeznaczone do kursowania pociągów transporterowych: - na stacjach, mijankach, ładowniach i bocznicach (również przy ustawieniu semaforów o szerokości 100 mm) | 4,50 | |
| - przy ustawieniu na międzytorzu żurawi wodnych i sygnałów stałych o szerokości słupa większej niż 100 mm | 4,75 | ||
| - przy ustawieniu na międzytorzu słu-, pów energetyki lub łączności | 4,90 | ||
| 9 | Tory przy rampach ładunkowych, na których odbywa się wtaczanie i staczanie wagonów normalnotorowych na i z transporterów | 5,00 | |
3.2.3.5. Odległość między osiami sąsiednich torów w tukach oraz odległość między osią toru w łuku i skrajnią budowli, należy zwiększyć w zależności od wielkości promienia łuku toru. Wielkość wymaganego zwiększenia odległości w zależności od wielkości promienia łuku podaje tablica 9.
Tablica 9 Poszerzenie skrajni na łuku
| Promień łuku R m |
Przechyłka toru
przyjęta do obliczenia poszerzenia skrajni w mm |
Jednostronne poszerzenie | |
| skrajni od strony | |||
| wewnętrznej | zewnętrznej | ||
| łuku w mm | |||
| 1000 | 20 | 100 | 15 |
| 800 | 25 | 120 | 20 |
| 700 | 30 | 150 | 20 |
| 600 | 35 | 170 | 25 |
| 500 | 40 | 190 | 30 |
| 400 | 50 | 200 | 35 |
| 350 | 55 | 220 | 45 |
| 300 | 66 | 260 | 50 |
| 250 | 75 | 300 | 60 |
| 200 | 80 | 330 | 75 |
| 150 | 80 | 350 | 100 |
| 100 | 80 | 380 | 150 |
| 75 | 80 | 410 | 200 |
| 50 | 80 | 480 | 300 |
3.3. Plan stacji
3.3.1. Położenie i wyposażenie stacji
3.3.1.1. Układ stacji i urządzenia na stacjach powinny uwzględniać potrzeby i bezpieczeństwo ruchu, oraz możliwość dalszego rozwoju stacji i rozbudowy osiedli lub zakładów położonych w przyległym rejonie.
3.3.1.2. Stosownie do potrzeb przewozowych należy na stacjach uwzględniać niezbędne urządzenia, jak magazyny, rampy, wagi wagonowe, place ładunkowe i inne urządzenia z odpowiednim ich wyposażeniem.
3.3.1.3. W zależności od przewidywanej pracy przewozowej w punktach zetknięcia linii kolejowej wąskotorowej z normalnotorową, należy projektować stację styczną.
3.3.1.4. Na stacjach stycznych, zależnie od przewidywanej wielkości pracy przeładunkowej, należy projektować urządzenia do przeładunku towarów z uwzględnieniem niezbędnej mechanizacji przeładunku.
3.3.1.5. Układ stacji i urządzenia na stacjach powinny uwzględniać potrzeby podróżujących wynikające z obowiązku spełnienia warunków zawartych w odnośnych przepisach higieniczno-sanitarnych (ustępy i woda do picia).
3.3.2. Równia stacyjna i długość torów
3.3.2.1. Równia stacyjna (mijanki) należy projektować z uwzględnieniem przelotności docelowej, a budowę należy realizować stopniowo w miarę narastania potrzeb przewozowych.
3.3.2.2. Długość równi stacyjnych powinna odpowiadać co najmniej długości użytkowej borów głównych zasadniczych lub dodatkowych, zwiększona o długość rozjazdów z obu kierunków.
3.3.2.3. Długość użytkową torów wyciągowych w trudnych warunkach terenowych można zmniejszyć do połowy przewidywanej długości pociągów zwiększoną o długość zespołu przetaczanego na projektowanej linii.
3.3.2.4. Długość użytkowa torów głównych, przy których projektuje się ustawienie żurawi wodnych, powinna być co najmniej o 15 m większa niż przewidywana długość pociągów na projektowanej linii.
3.3.2.5. Ilość torów i układ, w każdym okresie rozwoju danej stacji, powinny odpowiadać potrzebom ruchu.
3.3.3. Szczególne wymagania układu torów na stacjach końcowych dla pociągów transporterowych.
3.3.3.1. Układ torów na stacjach powinien zapewnić obsługę i pracę projektowanych punktów ładunkowych z ograniczeniem do minimum manewrowania ładownymi transporterami.
3.3.3.2. Stacje i tory boczne, na których projektuje się wtaczanie i staczanie wagonów normalnotorowych na transportery powinny być wyposażone w rampy ładunkowe oraz tory ładunkowe i odstawcze.
3.3.3.3. Długość i ilość torów ładunkowych i odstawczych oraz ich wzajemne położenie należy ustalać w zależności od przewidywanej maksymalnej wielkości przewozów i obciążenia pociągów transporterowych oraz procesu technologicznego pracy stacji.
3.3.3.4. Tory ładunkowe powinny leżeć na prostej poziomej, na długości co najmniej równej długości formowanego pociągu transporterowego, licząc od ścianki czołowej rampy.
3.3.3.5. Tory ładunkowe wąskie należy projektować w poziomie sąsiednich torów. W przypadku występowania wyjątkowo trudnych warunków terenowych, dopuszcza się położenie toru niżej poziomu torów sąsiednich, pod warunkiem zaprojektowania należytego odwodnienia.
3.3.4. Odgałęzienia (bocznice)
3.3.4.1. Odgałęzienia linii wąskotorowych od istniejących linii należy projektować na stacjach i mijankach.
3.3.4.2. W przypadkach wyjątkowych, uzasadnionych względami ekonomicznymi, można projektować odgałęzienie na szlaku, przewidując urządzenie w tym miejscu posterunku odgałęźnego.
3.3.4.3. Zaprojektowanie posterunku odgałęźnego i rodzaj jego zabezpieczenia wymaga każdorazowo odpowiedniego uzasadnienia w projekcie oraz zgody Ministerstwa Komunikacji.
3.4. Skrzyżowania z kolejami i drogami
3.4.1. Skrzyżowania z kolejami
3.4.1.1. Projektowanie skrzyżowania w jednym poziomie dwóch linii wąskotorowych lub linii wąskotorowej z' normalnotorową wymaga każdorazowo zgody Ministerstwa Komunikacji.
3.4.1.2. Zgoda, o której mowa w ust. 3.4.1.1., może być wydana jedynie w oparciu o szczególne uzasadnienie potrzeby projektowanego skrzyżowania i sposobu jego zabezpieczenia uwzględniającego warunki miejscowe.
3.4.1.3. Podejście do skrzyżowań linii kolejowych w jednym poziomie należy projektować w zasadzie na poziomych odcinkach profilu lub na pochyleniach do 2,5%o.
3.4.1.4. Sploty lub połączenia dwóch torów głównych o różnych szerokościach (gdzie jeden tor na pewnym odcinku jest wspólny) można stosować w przypadkach uzasadnionych względami techniczno-ekonomicznymi, po należytym uzasadnieniu w projekcie i' uzyskaniu zgody Ministerstwa Komunikacji.
3.4.1.5. W przypadkach, o których mowa w ust. 3.4.1.4., projekt powinien przewidywać odpowiednie zabezpieczenie prowadzenia ruchu pociągów, uwzględniając warunki miejscowe.
3.4.2. Skrzyżowania z liniami tramwajowymi i z drogami publicznymi.
Warunki techniczne projektowania skrzyżowań kolei z liniami tramwajowymi i drogami publicznymi określają odrębne przepisy.
3.5. Skrajnia budowli
Przy projektowaniu linii, budowli i urządzeń kolejowych należy stosować skrajnią budowli podaną na rysunku 1.
Na liniach kolejowych o szerokości toru 750 mm, po których przewidziane są przewozy wagonów normalnotorowych przy użyciu transporterów, należy stosować skrajnią budowli podaną na rysunku 2.


Rys. 1. Skrajnia budowli dla kolei wąskotorowych o szerokości toru 750 mm


Rys. 2. skrajnia budowli dla kolei wąskotorowych o szerokości toru 750 mm, po których kursują transportery dla przewozu wagonów normalnotorowych
3.6. Urządzenia poza obszarem kolejowym
Poza obszarem kolejowym należy uwzględniać konieczność urządzania przeciwpożarowych pasów ochronnych. Wytyczne projektowania pasów przeciwpożarowych określają odrębne przepisy.