| §10 | §11 | §12 | §13 | §14 | §15 | §16 | §17 | §18 | §19 | §20 | §21 | §22 | §23 |
| §24 | §25 | §26 | §27 | §28 | §29 | §30 | §31 | §32 | §33 | §34 | §35 | §36 |
§10
Zasady sporządzania profilu podłużnego
1. Profil podłużny jest to pionowy przekrój linii kolejowej wzdłuż osi zawierający wszystkie szczegóły wysokościowe i sytuacyjne usytuowane na linii kolejowej.
2. Przepisy niniejsze mają zastosowanie na eksploatowanych liniach kolejowych użytku publicznego.
KILOMETROWANIE
1. Podstawą do wykonania profilu podłużnego stanowi kilometracja linii kolejowej.
2. Jednostką uprawnioną do wykonania kilometracji linii kolejowej jest Wydział Geodezji.
3. Zadaniem kilometrowania jest dokładne wyznaczenie długości linii kolejowych, utrwalanie na właściwych miejscach wskaźników kilometrowych i hektometrowych oraz określenie usytuowania istniejących budowli i urządzeń kolejowych względem właściwego położenia hektometrów (pikietaż liniiY
4. Początek, kierunek i koniec kilometrowania linii kolejowych wyznacza dla każdej linii Dyrekcja Infrastruktury Kolejowej.
5. Za początek kilometrowania linii należy przyjąć oś
budynku stacyjnego, oś posterunku lub w szczególnych
przypadkach początek rozjazdu. Osie budynków stacji osobowych i
towarowych, mijanek, przystanków osobowych i ładowni należy
utrwalić przez osadzenie w widocznym miejscu od 2 do 4
wskaźników osi stacji.
1) Za oś mijanki należy przyjąć oś posterunku
dysponującego, a w razie jego braku - prostą, połowiącą
odstęp miedzy rozjazdami wjazdowymi i wyjazdowymi; za oś
ładowni - oś posterunku, a w razie jego braku - początek
rozjazdu, zaś za oś przystanku osobowego należy przyjąć oś
-,. budynku, a w razie jego braku - środek peronu.
2) Za oś stacji należy przyjąć oś budynku
stacyjnego lub oś drzwi wejściowych na perony; jeżeli budynek
stacyjny jest prowizoryczny (tymczasowy), to za oś stacji
należy przyjąć środek peronu. Ustalony kilometraż osi stacji
może być zmieniony tylko przez Wydział Geodezji i to w
przypadku przebudowy: stacji, budynku stacyjnego, peronów .
3) Jeżeli kilometrowana długość linii jest
niezgodna z długością budowlaną, wówczas odcinek linii nie
objęty kilometrowaniem musi być dodatkowo pomierzony a jego
profil wkreślony do profilu na całej linii:
a) z lewej strony przyjętego początku kilometrowania,
jeżeli odcinek nie objęty kilometrowaniem znajduje się przed
początkiem kilometrowania,
b) z prawej strony profilu, jeżeli odcinek ten znajduje
się na końcu linii.
6. Na szlakach granicznych (miedzy stacją graniczną a
granicą państwa) należy prowadzić podwójne kilometrowanie:
1) jedno normalne - w kierunku od stacji granicznej do granicy,
2) drugie dodatkowe - stanowiące przedłużenie
kiłometrowania na szlaku granicznym państwa ościennego, aż do
naszej stacji granicznej. W razie braku śladów obcego
kilometrowania Wydział Geodezji, w porozumieniu z zarządem
kolejowym państwa ościennego, nawiązuje się do ostatniego
kilometra, przedłuża obce kilometrowanie na terytorium polskim,
utrwala je na gruncie i uwidocznia w profilu.
7. Linie kolejowe jednotorowe powinny być kilometrowane wzdłuż osi toru, dwutorowe zaś wzdłuż miedrzytorza, z zastrzeżeniem, że pomiar kilometrowania dokonuje się po tokach, redukując uzyskane długości na osi toru lub międzytorza. Jeżeli każdy z torów linii dwutorowej na pewnej długości posiada oddzielne torowisko, to długość linii powinna być mierzona wzdłuż osi dłuższego toru, a w torze krótszym należy wówczas wprowadzić kilometr i hektometr o nieprawidłowej długości.
1. Wszystkie prace pomiarowe wykonywane na linii kolejowej (niwelacja, regulacja osi torów itp.) muszą być poprzedzone pikietażem linii.
2. Przed przystąpieniem do właściwego pikietażu należy
przeprowadzić szczegółowy wywiad w terenie polegający na:
1) odrzutowaniu na oś linii jednotorowej lub na oś
międzytorza linii dwutorowej wszystkich obiektów i urządzeń
kolejowych,
2) wykonaniu szkiców wszystkich budowli inżynierskich z
podaniem wymiarów. W przypadku, gdy wywiad jest przeprowadzony z
pikietażem, szkice budowli inżynierskich należy umieszczać na
szkicu pikietażu obok rysunku przebiegu linii kolejowej.
a. na odcinkach prostych:
linii jednotorowych - na tok prawy,
linii dwutorowych - na tok prawy toru prawego,
b. na łukach:
linii jednotorowych - na obydwa toki, linii dwutorowych - na toki
skrajne,
zaznaczając, przy użyciu białej farby olejnej, poszczególne
miejsca odrzutowań, na główce, stopce i szyjce szyny od strony
ławy torowiska. Miejsca niwelowane na linii dwu torowej muszą
być odrzutowane: na prostej - na toki skrajne, na łukach zaś -
na toki wewnętrzne.
3) oś każdej stacji, przystanku, mijanki itp. zaznacza się
na prawym toku prawego toru głównego z napisem na szyjce szyny
"oś stacji, mijanki itp.",
4) miejsca przeznaczone do niwelowania należy zaznaczyć
krzyżykiem na szyjce szyny, niezależnie od oznaczenia ich
normalną kreską.
3. Przy pracach wykonanych tylko na pewnych odcinkach linii, dopuszcza się częściowe przeprowadzenie pikietażu, pod warunkiem nawiązania początku pikietażu do najbliższego istniejącego hektometra oraz innych punktów stałych o znanym położeniu względem istniejącego kilometrażu. Przy kilometrażu. całej linii, wyniki otrzymane z częściowego pikietażu muszą być odpowiednio przeliczone względem punktu początkowego kilometrowania danej linii.
4. Pikietaż należy wykonać dwiema sprawdzonymi taśmami
20-to metrowymi (jedynie na łukach o promieniu mniejszym niż
200 m. - taśmami 10-cio metrowymi):
1) na liniach jednotorowych - po obydwu tokach,
2) na liniach dwutorowych - po tokach skrajnych,
układając naciągnięte taśmy na szynach. Koniec taśmy
należy zaznaczyć na szynie ostrą rysą, a dalszy pomiar
prowadzić od tej rysy.
5. Po kolejnym ułożeniu każdych 5 taśm (pełny hektometr) na lewym i prawym toku szyn, przerzutowuje się koniec taśmy lewej na tok prawy (na łukach - na tok wewnętrzny) i powstałą różnicę położenia końców obydwu taśm (na odcinkach prostych różnica ta jest błędem dwukrotnego pomiaru, który nie może przekraczać 1 cm) dzieli się na połowę w celu ustalenia położenia hektometra: następnie po uwzględnieniu poprawki termicznej odpowiadającej temperaturze pomiaru, zaznacza się ostrą rysą właściwe położenie hektometra, które przerzutowuje się z kolei na tok lewy (na łukach - na tok zewnętrzny). Od miejsc, które oznaczają właściwe położenie kilometra lub hektometra, należy oznaczyć właściwą setkę metrów białą farbą olejna (kreska) na główce szyny oraz krzyżykiem na szyjce szyny z opisem " km...." lub hm...".
6. Dla ustalenia poprawki termicznej taśmy należy mierzyć bezpośrednio temperaturę taśmy.
7. Przy pomiarze na łukach należy zwrócić szczególną
uwagę na :
1) dokładne układanie taśmy na szynach z uwagi na brak w tym
przypadku kontroli podwójnego pomiaru ,
2) różnicę położenia końców taśm na każdym hektometrze
łuku kołowego, która dla łuku o promieniu stałym jest
wielkością stałą.
8. Wyniki pikietażu należy wpisywać do specjalnie prowadzonego szkicu pikietażu, z tym że miejsca odrzutowane na prawy tok wpisuje się po prawej stronie szkicu, miejsca zaś odrzutowane na lewy tok - po lewej stronie, notując wyniki pomiaru w szkicu od dołu do góry.
9. Przy prowadzeniu pikietażu linii należy zaznaczyć na
toku między hektometrami każde 50 m. białą farbą olejną
"V" dla wykorzystania go przy niwelacji reperowej i
profilowej jako stanowiska instrumentu. Na szkicu pikietażu
zaznacza się w bieżącym kilometrażu:
1) osie stacji, mijanek, przystanków, ładowni, przejazdów
drogowych oraz przepustów,
2) początki, środki i końce mostów i wiaduktów (dla
mostów i wiaduktów z filarami należy podać także osie
filarów).
3) początki, środki i końce tuneli,
4) skrzyżowania torów w poziomie,
5) początki wszystkich rozjazdów w torach głównych oraz
środki dla rozjazdów krzyżowych,
6) istniejące załomy, jeżeli punkty te są zaznaczone w
terenie, w przypadku, gdy ich nie ma - należy określić w
przybliżeniu miejsce załomu profilu i zaznaczyć punkty po
obydwóch jego stronach w odległości 25 m.,
7) wszystkie inne urządzenia i budowle nie wymienione wyżej, a
wyszczególnione w wykazie oznaczników.
10. Dla linii wielotorowych należy pomierzyć i wpisać w
odstępach hektometrowych szerokości międzytorza. Dla mostów,
wiaduktów, przepustów i tuneli należy określić i zanotować
w prowadzonym szkicu budowli inżynierskich:
1) długość budowli (nie podawać długości wiaduktów
drogowych). Przy konstrukcjach belkowych za długość mostu czy
wiaduktu należy uważać odległość pomiędzy ściankami
żwirowymi przyczółków, przy konstrukcjach zaś sklepionych -
odległość pomiędzy osiami skrajnymi stóp sklepień
(wezgłowi), spoczywających na przyczółkach. W razie
trudności w ustaleniu grubości dla łuku w stropie, należy
grubość tę obliczyć ze wzoru:
dl = 1,5 dO
gdzie grubość łuku w kluczu; dO = ( 0,03.1+0,1 ) metrów,
zaś 1 - światło przęsła w metrach. Długość mostów ,
wiaduktów i tuneli należy mierzyć po osi toru, przepustów
zaś - po osi przepustu od wlotu do wylotu,
2) światło dla mostów i wiaduktów należy określić jako
sumę świateł poszczególnych przęseł mierzonych w połowie
wysokości filaru, przy czym za wysokość filaru nawodnego
należy przyjmować odległość od normalnego poziomu wody do
wierzchu filaru. Za normalny poziom wody należy uważać ten
poziom, który w ciągu roku utrzymuje się najdłużej. W
przypadku budowli ukośnej światło należy mierzyć od
prostopadłej do ścian podpór.
Za światło przepustów rurowych należy uważać średnicę
rur, tuneli zaś - odległość pomiędzy ścianami bocznymi,
mierzoną prostopadle do osi budowli.
Pod nazwą przepustów należy rozumieć takie obiekty służące
do przeprowadzania pod torami kolejowymi cieku wód
powierzchniowych, ruchu pieszego, rurociągów itp. o świetle
poziomym pojedynczego otworu mniejszym lub równym 3,0 m.
Wszelkie inne budowle inżynierskie, służące dla przepływu
wód lub przepuszczenia dróg, należy zaliczyć do kategorii
mostów. Mosty nad torami kolejowymi, drogami lub ulicami noszą
nazwę wiaduktów,
3) wysokość od główki szyny do dolnej krawędzi
konstrukcji,
4) wysokość od poziomu wody normalnej, jezdni lub główki
szyny do dolnej krawędzi konstrukcji.
11. Dla przejazdów w poziomie szyn należy podać w szkicu
pikietażu szerokość drogi w koronie przejazdu, mierzoną
prostopadle do ich osi, rodzaj drogi (klasa), jej nazwę oraz
skąd i dokąd ta prowadzi.
Należy rozróżnić następujące klasy dróg :
1) o nawierzchni miękkiej :
a. droga polna, bez podania skąd i dokąd prowadzi,
b. droga gruntowa, z podaniem skąd i dokąd prowadzi,
2) o nawierzchni twardej, z podaniem skąd i dokąd ona
prowadzi:
szosa o nawierzchni kamiennej, brukowej, kostkowej, klinkierowej,
betonowej, szosa asfaltowa.
Szerokość przejazdu między jego bocznymi granicami (skrajne
brzegi jego właściwej nawierzchni). W przypadkach wątpliwych
należy pamiętać, że końce odbojnic powinny wystawać poza
szerokość przejazdu przynajmniej 30 cm Wymienione w niniejszym
ustępie wysokości i szerokości można mierzyć bezpośrednio
taśmą stalową (ruletką).
§13
Osadzanie i przestawianie wskaźników
1. Wskaźniki kilometrowe i parzyste hektometrowe należy osadzać na ławach torowiska po prawej stronie kierunku kilometrowania, nieparzyste zaś po lewej stronie (zgodnie z przepisami Nr D-l), zwrócone ścianami szerszymi prostopadle do osi toru. Dokładność osadzania wskaźników +- 0,05 m.
2. Osadzanie wskaźników kilo - i hektometrowych na liniach
następuje w przypadku:
1) braku wskaźników na linii,
2) zmiany uszkodzonych wskaźników,
3) uzupełnienia brakujących wskaźników.
3. Przestawienie wskaźników wg nowego kilometrowania linii następuje w przypadku, gdy różnica pomiędzy usytuowaniem istniejących wskaźników i miejscem ich właściwego położenia przekracza 0,05 m, przestawienia dokona właściwy Zakład Infrastruktury Kolejowej.
4. Wszystkie wskaźniki muszą być ocyfrowane bezpośrednio
po ich ustawieniu. Ocyfrowanie powtórne następuje w
przypadkach:
1) konieczności przemalowania cyfr niewidocznych (zatartych),
2) konieczności zmiany cyfr na skutek niezgodności ich z
zatwierdzonym przez Dyrekcję Infrastruktury Kolejowej planem
kilometrowania danej linii.
5. Osadzenie i przestawienie wskaźników oraz ich
ocyfrowanie następuje dopiero po:
1) wykonaniu pomiarów i sporządzeniu profilu szczegółowego
całej linii,
2) wysłaniu do wszystkich zainteresowanych jednostek
odpowiedniego schematu określającego starą i nową
kilometrację - jako podstawowy do niezwłocznego uaktualnienia
posiadanych przez owe jednostki planów, katalogów,
charakterystyk linii itp. dokumentów nowym kilometrowaniem,
6. Jeżeli ślady pikietażu uległy zniszczeniu, osadzanie lub przestawianie wskaźników należy wykonać przez nawiązanie do istniejących stałych obiektów i urządzeń, których położenie zostało sprawdzone na podstawie pierwotnych szkiców pomiaru pikietażu.
7. Typ wskaźników kilometrowych i hektometrowych podany jest w przepisach D-l. Stosownie wskaźników innego typu dozwolone jest tylko w przypadku przestawienia istniejących wskaźników o wymiarach nie mniejszych od przewidzianych przepisami D-l, pod warunkiem jednak zachowania tego samego rodzaju wskaźników na całej linii w obrębie Zakładu Infrastruktury Kolejowej. Stosowanie wskaźników o wymiarach mniejszych wymaga każdorazowo zgody Dyrekcji Infrastruktury Kolejowej.
8. Gdy oś toru w związku z przebudową lub regulacją osi toru zostanie na pewnych odcinkach przesunięta, tak że różnica pomiędzy właściwym i istniejącym przełożeniem hektometrowym przekracza 0,5 m, należy na tych odcinkach przestawić wskaźniki, nawiązując do ostatniego hektometra i istniejących obiektów znajdujących się przed miejscem przebudowy toru. Wskaźniki hektometrowe należy przestawić na właściwe położenia hektometrów, tworząc jeden hektometr o nieprawidłowej długości (przepisy D-l) z zastrzeżeniem, że na stacjach, przystankach itp. w granicach 1000 m. przed semaforami wjazdowymi nieprawidłowych hektometrów stosować nie wolno. Wskaźniki hektometrowe obejmujące nieprawidłową długość należy oznaczać czarnym paskiem szerokości 5 cm poniżej hektometra.
9. Na linii, na której wykonuje się nowy profil, nie należy wprowadzać hektometrów nieprawidłowych. W wyjątkowych i uzasadnionych przypadkach zastosowanie hektometra nieprawidłowego wymaga zgody Dyrekcji Infrastruktury Kolejowej.
10. Dla każdej linii należy prowadzić szczegółowy "Wykaz hektometrów nieprawidłowych" dla umożliwienia zestawienia faktycznej długości danej linii.
11. W przypadku, gdy wskaźników kilo - i hektometrowych nie można osadzić na właściwych miejscach (na przejazdach, wiaduktach, mostach itp.) wskaźniki te należy osadzić w innych miejscach w kierunku kilometrowania lub w kierunku przeciwnym, możliwości odległych o całkowitą ilość metrów, oznaczając na ścianie wskaźnika zwróconej do osi toru cyfrę z plusem albo minusem, wyrażającą wielkość przesunięcia danego wskaźnika w kierunku kilometrowania (plus) lub w kierunku przeciwnym (minus).
PROFIL PODŁUŻNY
§ 14
Niwelacja profilu podłużnego
1. Dla opracowania profilu linii należy wykonać:
1) niwelację reperów
2) niwelację profilu linii (niwelację profilową).
2. Niwelację profilową, nawiązaną do wszystkich reperów znajdujących się na danej linii, należy prowadzić w sposób ciągły na całej długości linii, dla określenia wysokości wszystkich punktów potrzebnych do sporządzenia profilu podłużnego.
3. Niwelację należy wykonać:
1) dla linii dwutorowej:
a. na prostych - na tokach skrajnych,
b. na łukach - na tokach wewnętrznych,
2) dla linii jednotorowej:
a. na prostych - na toku prawym,
b. na łukach - na toku wewnętrznym.
4. Na przejazdach w łuku należy zaniwelować główki szyny wszystkich toków (wewnętrznych i zewnętrznych) oraz na długości 50 m od osi toru lub międzytorza, w celu wykorzystania tych danych przy projektowaniu niwelety.
5. Oprócz miejsc wyszczególnionych w ust. 3 i 4 należy
zaniwelować punkty charakterystyczne terenu, u podnóża nasypu
lub na krawędzi wykopu, z obydwu osi toru w kierunkach do niej
prostopadłych z dokładnością do 10 cm.
Niwelację tą można prowadzić oddzielnie, w nawiązaniu jednak
do główki szyny i bieżącego kilometrażu.
§15
Oznaczniki dla bieżącego kilometrażu
1. Wszystkie obiekty i urządzenia kolejowe oraz wszystkie dane uwidocznione na profilach podłużnych należy wykreślać i opisywać według oznaczników podanych w załączniku nr 6.
2. Oznaczniki budynków wykreśla się w miejscach odpowiadających osi tych budynków. W przypadku oznaczenia dużych stacji, składających się z oddzielnych stacji: osobowej i towarowej, należy każdą z nich oznaczyć osobno oznacznikiem z odpowiednim napisem ("Osobow" lub "Tow"), przy czym oznacznik stacji towarowej należy postawić na osi budynku administracyjnego, a w razie jego braku -na osi jednego z posterunków.
3. Na oznacznikach sygnalizatorów pociągowych należy umieszczać strzałkę wskazującą kierunek jazdy, do którego się odnoszą.
4. Oznaczniki rozjazdów zwyczajnych odnoszone są do styku przediglicowego. Dla rozjazdów, od których rozpoczynają się linie lub bocznice, pod oznacznikiem należy podać nazwę tej linii lub bocznicy oraz jej kilometr.
5. Pod oznacznikami nr 19, 20, 21, 22, 23 należy podać szerokość przejazdu, w nawiasach - szerokość przecinanej drogi w koronie, klasę drogi z podaniem w nawiasie nawierzchni oraz skąd i dokąd ona prowadzi.
6. Nad oznacznikami wiaduktów, mostów i przepustów należy wpisać: litery wskazujące nazwę budowli, skróty oznaczające rodzaj konstrukcji lub kształt tych budowli oraz długość i w nawiasie światło mostów, wiaduktów, przepustów; dla przepustu o otworze prostokątnym zamiast światła podaje się wymiary boków o przekroju (np. "W.żb. 28,5 (20,1)" - oznacza wiadukt żelbetowy, długości 28,5 m, światło 20,1 m; "M.ż. 45,5 (41,2)" - most żelazny, długości 45,5 m, światło 41,2 m", "p.sk.żb. 10,4 (1,2)" - przepust sklepiony żelbetowy, długości 10,4 m, światło 1,2 m; "p.p.żb. 12,0 (1,5 x 1,5)" -przepust prostokątny żelbetowy, długość 12,0 m, przekrój 1,5 x 1,5 m itp.). Poza tym przy oznacznikach budowli wpisuje się rzędne wysokości, dotyczące miejsc zaznaczonych znakiem Nr 31. Pod odpowiednimi oznakami należy również wpisać nazwę rzek, potoków lub dróg.
7. Nad oznacznikami stacji, mijanek i przystanków należy wpisać właściwą ich nazwę oraz kilometr. Nazwy stacji itp. muszą być zgodne z "WOT"(Wykaz odległości taryfowych), natomiast nomenklaturę charakterystyki dla danej stacji itp. należy przyjąć taką jak ustaliła służba przewozów.
8. Oznaczniki hektometra o nieprawidłowej długości należy umieszczać na profilu w miejscu oznaczeń kilometrów i hektometrów z podaniem jego rzeczywistej długości.
9. Profil terenu należy wykreślać cienka linią, z tym że teren znajdujący się po prawej stronie linii kolejowej należy oznaczyć linią ciągłą, po lewej zaś - linią przerywaną.
§16
Sporządzenie profilów podłużnych
1. Dla potrzeb kolejowych sporządza się następujące
rodzaje profili:
1) profil podłużny szczegółowy,
2) profil kieszonkowy lub skrócony na oddzielne
zapotrzebowanie.
2. Profil szczegółowy należy sporządzać w skali 1:5000 i skali pionowej 1:200, odcinkami do5 kilometrów.
3. Profil szczegółowy wykonywany jest według wzoru
podanego w załączniku nr 5 dla linii jednotorowej i w
załączniku nr 6 dla linii dwutorowej, dla torów
nierównoległych, posiadających osobne torowiska leżące w
różnych poziomach, profil wykonywany jest dla każdego toru
oddzielnie według wzoru na linii jednotorowej. Na profilu
umieszcza się opisy:
1) nazw stacji, mijanek itp. oraz dróg, rzek i miejscowości,
2) położenia reperów ,
3) dane liczbowe dotyczące łuku zaokrąglającego załom
profilu i szerokości międzytorza.
4. Wszystkie dane na oryginale, odnoszące się do stanu
istniejącego na linii, wykreślone są w kolorze czarnym,
natomiast wszystkie dane związane z projektem i późniejsze
zmiany - w kolorze czerwonym. Kolorem czerwonym należy więc
oznaczyć:
1) pionowe (grubsze) linie ograniczające załomy i wartości
danych zaokrąglające załomy profilu,
2) wartości projektowanych poziomów i pochyleń, ich
długości oraz odległości załomów od projektowanych
hektometrów,
3) projektowane wysokości główki szyny,
4) różnice wysokości między projektowaną a istniejącą
niweletą,
5)poziome linie odgraniczające dane wyszczególnione w punktach
1,2,3.
5. Na liniach, na których nie przewiduje się w najbliższych latach ciągłej wymiany podsypki lub przebudowy, należy zaprojektować niweletę, która odtwarza istniejący stan linii, wyrównuje wszelkiego rodzaju zapadnięcia w torach i gwarantuje bezpieczeństwo ruchu na danej linii. Niweletę tę, zwaną niweletą wyrównawczą, projektuje się dla bieżącego utrzymania torów. Przy projektowaniu należy zwracać uwagę, aby projekt niwelety nie przewidywał większego obniżenia toru aniżeli 5 cm i to na krótkich odcinkach i w wyjątkowych przypadkach.
6. Przy budowie podtorza lub nawierzchni (ciągła wymiana), a także przy łącznej przebudowie podtorza i nawierzchni, w związku z koniecznością zmiany istniejącego profilu linii, należy wykonać projekt właściwej niwelety.
7. Projekt właściwej niwelety wykonywany jest na podstawie założeń technicznych dla danej linii przekazywanych przez Zakłady Infrastruktury Kolejowej a dotyczących przewidywanych prędkości, skrajni, istniejącego i projektowanego typu nawierzchni, grubości warstw podsypki, szerokości ław torowiska, wielkości spadków, promieni łuków, szerokości międzytorza poza mostami i na mostach, danych określających, który tor i na jakich odcinkach będzie odsuwany, usytuowanie peronów itp.
8. Spadki i wzniesienia należy wykazywać w promilach z dokładnością do 0,1 promila.
9. W każdym projektowanym załomie profilu, poniżej profilu linii wzdłuż kreski pionowej rozgraniczającej spady, należy podać dane dotyczące łuku zaokrąglającego załom "R", "t" i "f" (R -promień łuku zaokrąglającego załom, t - długość stycznej, f- strzałka).
10. Projekt niwelety stanowiący element profilu podłużnego wykonuje i zatwierdza Wydział Geodezji po uprzednim uzgodnieniu rozwiązań projektowych z właściwym terytorialnie Zakładem Infrastruktury Kolejowej.
11. Wykres przekroju terenu w miejscach dużych wzniesień lub spadków przy mostach, wiaduktach, tunelach w przekopach, nasypach itp., którego we właściwej skali nie można uwidocznić na profilu, należy przedstawić w skażonym ukształtowaniu, nie wskazując profilu terenu z lewej strony linii kolejowej w przypadku, gdy z lewej i prawej strony tor jest w wykopie lub nasypie. W przypadku, gdy torowisko położone jest na zboczu, wykazywanie na profilu terenu z lewej i prawej strony linii kolejowej nie jest konieczne.
12. Oryginały profili podłużnych przechowywane są w składnicach dokumentacji geodezyjno -kartograficznej Wydziału Geodezji Dyrekcji Infrastruktury Kolejowej.
13. Kopię profili podłużnych udostępniane są zainteresowanym służbom przez Wydział Geodezji.
1. Dokumenty powstałe w wyniku polowych i kameralnych prac
profilowych dotyczące jednej linii, tworzą operat profilu
podłużnego, na który składają się:
1) operat pomiarowo-obliczeniowy,
2) operat kartograficzny.
2. Dokumenty składające się na operat pomiarowo-obliczeniowy profilu podłużnego linii kolejowej muszą być złożone w jednej, a operat kartograficzny w drugiej teczce.
3. Dokumenty w luźnych arkuszach (szkice pikietażu, szkice budowli inżynierskich itp.) należy umieszczać w podteczkach z klapami lub w innych zabezpieczających przed wypadaniem zawartości, z wyszczególnieniem ilości kart - arkuszy.
4. Wszystkie tytułowe strony dokumentów, teczek i
podteczek powinny być skrupulatnie wypełniane i opisywane.
1) Na zewnętrznej okładce teczki całego operatu należy
umieścić:
a. w lewym górnym rogu - nazwa jednostki sporządzającej,
b. w prawym górnym rogu - rok wykonania
c. w środku napis "Profil podłużny linii kolejowej
Nr....................) i nazwa)",
d. w lewym dolnym rogu - oznaczenie archiwalne,
e. w prawym dolnym rogu - nazwę przedsiębiorstwa, instytucji,
która wykonała dokumenty.
2) Na zewnętrznej stronie okładki teczki całego operatu
należy umieścić spis załączników w niej zawartych z
podaniem dla każdego załącznika ilości stron (kart, arkuszy).
Spis ten podpisany jest przez wykonawcę.
3) Na zewnętrznej stronie okładki podteczki, zawierającej
luźne arkusze, należy umieścić:
a. w lewym górnym rogu - nazwę jednostki sporządzającej,
b. w środku - tytuł określający rodzaj załączników (np.
szkice pikietażu)
c. w lewym dolnym rogu - oznaczenie archiwalne,
d. w prawym dolnym rogu - stwierdzenie ilości stron (kart,
arkuszy) odnośnego załącznika
5. Operat pomiarowo-obliczeniowy profilu podłużnego linii
kolejowej zawiera:
1) polecenie wykonania robót,
2) szkice budowli inżynierskich,
3) szkice pikietażu,
4) wykresy stanu łuków,
5) dzienniki niwelacji reperów,
6) dzienniki niwelacji profilu linii,
7) wykaz hektometrów nieprawidłowych.
6. Operat kartograficzny zawiera:
1) oryginał profilu szczegółowego,
2) matryce profilu szczegółowego.
1. Wszystkie profile podłużne muszą być utrzymane w stałej aktualności
2. Wszystkie zmiany w terenie, powstałe na skutek ustawiania nowych lub przestawiania starych obiektów kolejowych, dokonania regulacji oraz przebudowy linii, muszą być natychmiast zgłaszane do Wydziału Geodezji.
3. Bezpośrednio po otrzymaniu zmian lub po dokonaniu uzupełniających pomiarów muszą być " uzupełnione i poprawione matryce profilu przez wniesienie danych aktualnych, a usunięte nie aktualnych,
4. Na zgłoszeniu należy umieścić datę wprowadzania zmian na odbitkę profilu oraz podpis wprowadzającego te zmiany, na odbitce zaś obok numeru zgłoszenia - datę poprawienia matrycy profilu szczegółowego oraz podpis poprawiającego matrycę. Po poprawieniu matrycy należy zmienić datę w klauzuli: "Według stanu na dzień......", wpisując datę wnoszenia zmian.
5. Wszystkie wprowadzane na matrycy zmiany sprawdzane są przez kierownika grupy, który potwierdza jego dokonanie przez wpisanie na zgłoszeniu klauzuli "Sprawdzono dnia ..." i umieszczenie swojego podpisu.
6. Dopuszcza się przechowywanie danych operatu profilowego na elektronicznych nośnikach danych.
7. Dopuszcza się stosownie innych technik opracowania profili podłużnych ale muszą one spełniać powyższe warunki.
§19
Zasady wykonywania regulacji osi torów
1. Regulacja toru kolejowego ma za zadanie dostosowanie niewłaściwego lub też zdeformowanego położenia osi toru do położenia odpowiadającego parametrom technicznym wymaganym dla danej linii kolejowej.
2. Parametry techniczne jakim musi odpowiadać układ geometryczny toru podlegającego regulacji określa Zakład Infrastruktury Kolejowej na terenie którego znajduje się dana linia kolejowa.
3. Regulacją osi toru należy objąć tory wraz z rozjazdami.
4. Przepisy instrukcji mają zastosowanie przy obsłudze pomiarowej napraw i utrzymania nawierzchni kolejowej.
1. Położenie toru w płaszczyźnie poziomej i pionowej w stosunku do toru sąsiedniego i obiektów (słupów trakcyjnych i oświetleniowych, tarcz i semaforów, obiektów mostowych, ścian oporowych i innych) nie może być większe niż +2 cm od wielkości normatywnych.
2. Krzywizna toru w płaszczyźnie poziomej i pionowej nie może się różnić od teoretycznej w sposób przekroczenia przyrostu przyspieszenia o wielkości a = 0,2 m/s2 w dowolnym punkcie osi toru.
3. Zmiana wielkości krzywizny między kolejnymi punktami
osi toru o 10 m nie może powodować szybkości zmiany
przyspieszenia większej od
= 0,3 m/s2.
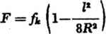
1. Dla łuku skierowanego w lewo i długości liczonej zgodnie z kierunkiem kilometracji przyjmuje się znak krzywizny "+", dla łuku skierowanego w prawo, znak "-".
2. W torach na szlaku i w torach głównych zasadniczych, a także w torach głównych dodatkowych na stacjach, jeżeli odbywa się po nich ruch pociągów bez zatrzymania, pomiędzy odcinkiem prostym toru i hakiem poziomym lub pomiędzy hakami kołowymi jednego kierunku o różnych promieniach (hak koszowy) należy wykonać krzywe przejściowe, na których długości występuje ciągła zmiana krzywizny toru oraz może występować ciągła zmiana przechyłki i poszerzenia toru.
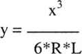
3. Krzywą przejściową określa się parabolą trzeciego stopnia o równaniu:

gdzie:
R - promień łuku kołowego (m),
L- długość krzywej przejściowej z prostoliniową rampą
przechyłkową (m),
x - odległość od początku krzywej przejściowej (m).
4. Jeżeli na krzywej przejściowej występuje krzywoliniowa
rampa przechyłkową, to należy zastosować krzywą
przejściową wyznaczoną według następujących wzorów:
1) przy rampie przechyłkowej w postaci paraboli trzeciego
stopnia - krzywej Blossa:

2) przy rampie przechyłkowej w postaci cosinusoidy:

5. Długość krzywej przejściowej musi być taka, aby przyrost niezrównoważonego przyspieszenia bocznego nie przekroczył wartości dopuszczalnych określonych w obowiązujących przepisach.
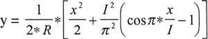
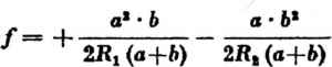
1. Strzałkę łuku stanowi odległość punktu osi toru od cięciwy łączącej dwa sąsiednie punkty.
2. Zależność między strzałką a promieniem łuku określa wzór:

gdzie:
f - strzałka łuku
R - promień łuku
a, b - odległości wzajemne punktów
3. W punktach styczności krzywych (prostych, krzywych przejściowych - łuków kołowych) wielkość strzałek określa się ze wzorów:
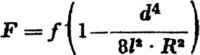
1) Strzałki łuku kołowego

Rys. 1. Strzałki łuku kołowego



dla strzałek f> 30 cm stosuje się wzór dokładniejszy:

![]()
![]()
---------------------------------------------------------------------------------------------

Rys. 2. Strzałka w punkcie styku dwóch zgodnie skierowanych łuków o różnych promieniach Rl i R2

![]()
---------------------------------------------------------------------------------------------

Rys. 3. Strzałka w punkcie styku łuków odwrotnych
Dla łuku położonego w prawo strzałka ma
znak +, dla łuku w lewo znak -.
W przypadku jak na rysunku 3:

![]()
2) Strzałki krzywej przejściowej

Rys. 4. Strzałka w punkcie styku krzywej przej ściowej z prostą
![]()
![]()
![]()
![]()
---------------------------------------------------------------------------------------------

Rys. 5. Strzałka na krzywej przej ściowej
![]()
![]()
![]()

---------------------------------------------------------------------------------------------

Rys. 6. Strzałka na krzywej przejściowej przy podziale na n równych części c (l=n*c)
![]()
---------------------------------------------------------------------------------------------

Rys. 7. Strzałka w punkcie styku dwóch krzywych przej ściowych łuku parabolicznego
Promień krzywizny w punkcie styku wynosi R:
![]()
![]()
![]()
---------------------------------------------------------------------------------------------

Rys.8. Strzałka w punkcie styku dwóch krzywych przejściowych założonych między łukami odwrotnymi Rl i R2
![]()
Dla łuku prawego promień R ma znak +, dla
łuku zaś lewego R ma znak _ .
Strzałka f otrzymuje znak + , gdy punkt styku leży na lewo od
cięciwy, a znak _, gdy punkt styku leży na prawo od cięciwy.
---------------------------------------------------------------------------------------------

Rys. 9. Strzałka w punkcie styku łuku o promieniu R1 z krzywą przejściową i łuku o promieniu R2 z krzywą przejściową
![]()
![]()
Strzałka w punkcie styku łuku o promieniu R2 z krzywą przejściową (rys. 9):
![]()
---------------------------------------------------------------------------------------------

Rys. 10. Strzałka krzywej przejściowej między łukami o promieniach R1 i R2

![]()
Jeżeli krzywa przejściowa podzielona jest na n równych części długości c, to:
![]()
---------------------------------------------------------------------------------------------

Rys. 11. Strzałka w punkcie styku
krzywych przej ściowych między łukami zgodnie skierowanymi o p
romieniach Rl i R2
Promień krzywizny w punkcie styku ma wielkość R3:
![]()
Wzór ten ważny jest dla dowolnych wielkości Ri, R2, R3.
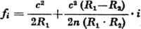
4. Gdy położenie trzech punktów na płaszczyźnie określone jest współrzędnymi prostokątnymi (X,Y), to strzałkę łuku oblicza się wzorem:


gdzie:
m - współczynnik kierunkowy prostej
k - odcinek po osi Y odcięty przez prostą utworzoną przez
punkty i-i oraz i+i
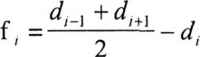
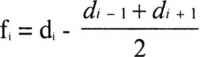
5. Gdy położenie trzech kolejnych punktów równego podziału osi toru określane jest w stosunku do linii pomiarowej, to strzałkę oblicza się wzorem:

gdzie:
di, dii, di+i - domiary trzech kolejnych punktów osi toru
6. Przebieg strzałek pomierzonych po osi toru, niezależnie od sposobu pomiaru, charakteryzuje stan krzywizny toru.
1. Znakiem regulacji osi toru jest punkt materialny jednoznacznie określony w terenie, zawierający informację o położeniu geometrycznej osi toru w płaszczyźnie poziomej i pionowej.
2. Zasadniczym sposobem oznakowania geometrii toru jest znak pomiarowy, który z punktu widzenia stabilizacji i dokładności wykonywanych na nim pomiarów kwalifikuje go jako znak kolejowej osnowy geodezyjnej.
3. Trwałe znaki regulacji podlegają przekazaniu i ochronie na zasadach dotyczących ochrony znaków osnów geodezyjnych.
4. Znaki regulacji muszą być znakami wielofunkcyjnymi.
5. Konstrukcja znaku trwałego powinna ułatwiać czynności pomiarowe i umożliwić dokładne ustawienie (przyłożenie) narzędzi pomiarowych, celem uzyskania dokładności przewidzianych w § 20.
6. Znak regulacji nie może być przeszkodą w prowadzeniu naprawy toru ani też powodować zagrożenie bezpieczeństwa.
7. Konstrukcja znaku musi ułatwiać obsługę pomiarową napraw nawierzchni i wykonywania pomiarów kontrolnych geometrycznej osi toru.
1. Zadaniem pomiaru pikietażu jest określenie położenia osi toru w stosunku do punktów terenowych, których położenie warunkuje położenie poprzeczne osi toru. Są nimi np. semafory, tarcze ostrzegawcze, słupy sieci trakcyjnej, perony, przejazdy, obiekty mostowe, mury oporowe.
2. Ze wzglądu na sposób określenia położenia toru w
stosunku do punktów terenowych rozróżniamy pomiar:
1) bezpośredni,
2) pośredni.
§25
Pomiar bezpośredni pikietażu
1. Na czynności bezpośredniego pomiaru pikietażu
składają się:
1) zagęszczenie kilometracji osi toru punktami
pomiaru co 10 m,
2) rzutowanie punktów terenowych na oś toru,
3) wykonywanie szkicu pikietażu.
2. Zagęszczenie kilometracji należy wykonywać taśmą mierniczą po toku szynowym bliższym w stosunku do linii znaków regulacji osi toru na całym odcinku mierzonego toru bez względu na zmiany kierunku krzywizny.
3. Rzutowanie punktów terenowych wykonuje się na oś toru za pomocą przenośnicy torowej prostopadle do osi toru odczytując także na tej przenośnicy wielkości domiarów do tych punktów.
4. W trakcie pomiaru pikietażu należy dokonywać domiary do znaków regulacji. Wielkości domiarów do tych znaków należy odczytać z dokładnością +- 1mm.
5. Odczyty rzutów punktów na oś toru należy wykonywać z dokładnością +- 1cm.
6. Szkic pikietażu może być połączony z dziennikiem pomiaru strzałek lub stanowić szkic odrębny. Przypadek drugi jest zalecany, gdy do zapisu pomiaru strzałek stosowany jest rejestrator polowy jako narzędzie informatyki. Linię pomiarową stanowi oś toru, na którą rzutowane są punkty terenowe.
1. Sposób pośredni polega na dokonaniu przeliczeń współrzędnych prostokątnych uzyskiwanych w procesie technologicznym mapy numerycznej, na miarę bieżącą po osi toru i domiary do punktów terenowych.
2. Czynności zagęszczenia kilometracji, rzutowania punktów i sporządzania szkicu dokonuje się na drodze wykorzystania programów komputerowych.
3. Sposób ten należy stosować łącznie z czynnością projektowania regulacji osi toru wykorzystując zbiory mapy numerycznej.
1. Pomiar krzywizny toru wykonywany jest poprzez pomiar strzałek bezpośredni lub pośredni.
2. Aby pomiar strzałek dawał łatwą orientację co do przebiegu krzywizny zaleca się, by odbywał się on w stałych odstępach w połowie długości cięciwy pomiarowej.
3. Dobór długości cięciwy pomiarowej powinien
uwzględniać:
1) wielopunktowe przedstawienie krzywej,
2) jak najmniejszy stosunek błędu pomiaru do wielkości
mierzonej,
3) możliwość określenia z wykresu strzałek rodzaju
krzywizny (prosta, łuk kołowy, krzywa przejściowa).
4. W zależności od promienia łuku, długość cięciwy
pomiarowej wynosi:
1) 40 m dla R > 2000 m,
2) 20 m dla 300 < R < 2000 m,
3) 10 m dla R < 300 m.
5. Dokładność pomiaru strzałek wynosi 1 mm dla wszystkich przypadków wymienionych w pkt.4.
6. Dokładność pomiaru strzałek metodami pośrednimi należy określać w przeliczeniu na długości cięciw podane w pkt. 4 i 5.
§28
Bezpośredni pomiar strzałek
1. Bezpośredni pomiar wykonywany jest teodolitem dla wszystkich długości cięciw.
2. Pomiar strzałek należy wykonać w kierunku zasadniczym i powrotnym.
3. Różnice między strzałką pomierzoną w kierunku zasadniczym i powrotnym nie może przekraczać 2 mm .
Pomiar ze znaków regulacji osi torów
1. Sposób ten stosowany jest dla wszystkich wielkości promieni łuków, a także dla pomiaru prostych, przez co zachowuje się ciągłość pomiaru prostych i łuków.
2. Dokonując obliczeń strzałek z domiarów należy uwzględnić zmianę kierunku linii pomiarowej (utworzone przez kolejne znaki regulacji) wprowadzając poprawkę do strzałki poprzedzającej znak regulacji i następnej po znaku regulacji.
3. Stanowisko teodolitu i sygnał celu do pomiaru umieszczane są na stałym mimośrodzie.
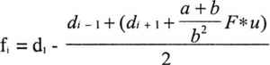
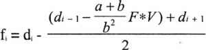
4. Obliczenie strzałek dla jednakowych odstępów punktów pomiaru należy prowadzić według wzorów: gdy wszystkie pomiary są po jednej linii pomiarowej:

gdy domiar trzeci leży na następnej linii pomiarowej:

gdy domiar pierwszy leży na poprzedniej linii pomiarowej:

gdzie:
d,, d,., , dltl - domiary trzech kolejnych punktów osi toru
a,b - odległość między trzema kolejnymi znakami
F - strzałka utworzona przez trzy kolejne znaki regulacji
u - odległość punktu ostatniego przed znakiem regulacji,
v - odległość punktu pierwszego za znakiem regulacji u + v
=A1;
A1 - odstępy między punktami pomiaru 5.
Pomiar rzędnych odbywa się w kierunku zasadniczym i powrotnym,
a różnice między dwoma pomiarami nie mogą być większe jak 2
mm.
Pomiar ze stanowisk na torze
6. Pomiar ze stanowisk na torze wykonuje się w punktach
podziału toku szynowego ze stanowisk teodolitu dowolnie obranego
w pobliżu toku szynowego i osi celowej skierowanej tak, aby
możliwe było odczytywanie na poziomej łacie możliwie
największej liczby domiarów od toku szynowego do linii celowej.
Zasadę pomiaru przedstawia załącznik nr 2.
7. Następne stanowisko teodolitu należy obrać tak, aby rzędne były czytane ponownie dla punktów podziału, poczynając od środkowego poprzedniej cięciwy.
8. Długość celowej nie może być większa niż 70 m.
9. Strzałki łuku należy obliczać wzorem 5/ dla stałych odstępów co 5 m lub co 10 m w zależności od potrzeb projektu.
10. Różnice między strzałkami obliczonymi z dwóch
kolejnych cięciw dla tych samych punktów podziału nie mogą
przekraczać +-2mm.
Dopuszcza się pomiar innymi metodami i technologiami przy
zachowaniu wymaganych dokładności pomiarów.
§30
Projekt regulacji osi toru w płaszczyźnie poziomej
Warunki ogólne jakim powinien odpowiadać projekt regulacji.
1. Projekt regulacji osi toru należy wykonywać metodą analityczną z zastosowaniem narzędzi informatyki lub graficznie metodą wykresu kątów.
2. Algorytm programu obliczeń geometrycznej osi toru musi umożliwiać uzyskanie miar teoretycznej odległości osi toru od linii wskaźników regulacji.
3. W projekcie regulacji należy podać wykaz przesunięć istniejącej osi toru do osi teoretycznej celem uwidocznienia zakresu robót i dopasowania projektu do warunków terenowych.
4. Projekty regulacji odcinków prostych i tuków wykonywane oddzielnie muszą mieć punkty łączne mające te same przesunięcie, co ma istotne znaczenie dla zachowania ciągłości przebiegu krzywizny.
5. Algorytm projektu regulacji osi toru musi umożliwiać niezależną kontrolę wszystkich czynności regulacji np.: przez porównanie strzałek obliczonych na bazie projektu regulacji ze strzałkami obliczonymi ze współrzędnych prostokątnych znaków regulacji.
6. Projekt nowej geometrii toru wykonywany jest w wariantach
uwzględniających następujące założenia:
1) dostosowania geometrii do warunków terenowych,
2) dostosowania geometrii do maksymalnej szybkości
obowiązującej na danej linii.
7. Projekt regulacji podaje szybkość, jaka jest przewidziana na danej linii po realizacji tego projektu. Szybkości te należy określać dla warunków zasadniczych długości krzywych przejściowych i promieni łuków.
8. Projekt regulacji osi toru zatwierdza Wydział Geodezji po wcześniejszym uzgodnieniu przez Zakład Infrastruktury Kolejowej, na terenie którego przebiega dana linia kolejowa.
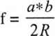
1. Projekt regulacji osi toru podaje szybkość, z jaką mogą kursować pociągi po torze naprawionym. Określa sieją dla warunków zasadniczych wzorem:
![]()
gdzie:
L - długość krzywej przejściowej
R - promień łuku
2. W zespole łuków i krzywych przejściowych objętych jednym projektem regulacji do obliczania szybkości należy wybrać najmniejszy promień łuku i najmniejszą długość przyległej do niego krzywej przejściowej.
§32
Obliczenie miar do wytyczenia osi toru
1. Każdy projekt regulacji osi toru, niezależnie od metody wykonania (wygładzanie wykresu strzałek, obliczenia w układzie ewolwentowym, obliczenia w układzie prostokątnym) należy przeliczyć na linie znaków regulacji lub cięciwy, utworzone przez punkty osi toru położonych naprzeciw znaków regulacji.
2. W wyniku przeliczenia projektu na linie znaków powstaje wykaz miar bieżących po osi toru od rzutu znaku na oś toru w kierunku rzutu następnego znaku i odpowiadających im domiarów od osi toru do linii znaków. Zaleca się, by miara bieżąca była odkładana w stałym kroku.
3. Projekty regulacji osi toru, wykorzystujące jako dane strzałki pomierzone, powinny zawierać strzałki kontrolne wyliczone dla punktów odpowiadających położeniom znaków regulacji.
4. Strzałki kontrolne muszą być porównane ze strzałkami teoretycznymi.
5. Odchylenie strzałek kontrolnych od teoretycznych nie może przekraczać wielkości obliczonej wzorem:

gdzie:
a,b - odległość znaków w [m]
Vmax - szybkość maksymalna w km/h
6. Wyniki regulacji osi toru zawarte są w protokóle zdawczo - odbiorczym znaków regulacji.
7. Kopie protokółów (dwa egzemplarze) zdawczo - odbiorczych Wydział Geodezji przekazuje do właściwego Zakładu Infrastruktury Kolejowej.
§33
Regulacja dróg rozjazdowych
1. Czynności regulacji wykonuje się w pierwszej kolejności w torach głównych zasadniczych i torach głównych dodatkowych. Pozostałe tory reguluje się w nawiązaniu do torów głównych.
2. Celem regulacji jest podanie miar wyznaczających położenie rozjazdów spełniające warunek współliniowości i odległości normatywnych (np.: minimalnej długości wstawki prostej).
1. Pomiar należy wykonać:
1) metodą domiarów prostokątnych na lokalnie
założoną osnowę pomiarową.
2) metodą biegunową przy użyciu instrumentów
typu Total Station o dokładności pomiaru kąta 10cc oraz
odległości 10 mm +- 10 mm/km.
2. Celem uniknięcia powtarzania pomiarów i projektów przed każdą naprawą nawierzchni celowe jest powiązanie obranych punktów lokalnych osnowy do linii słupów trakcyjnych, a na liniach nie zelektryfikowanych do znaków osnowy pomiarowej.
3. Osnowę pomiarową do celów regulacji należy
założyć jako linie pomiarowe równoległe do osi rozjazdowej w
bezpośredniej bliskości tej drogi.
Początek i koniec linii pomiarowej należy zakładać na linii
rzutu słupów trakcyjnych lub znaków osnowy poziomej,
służących jako znaki przeniesienia projektu.
Początek i koniec linii pomiarowej zakłada się w tej samej
odległości od osi toru tworzącego kierunek zasadniczy drogi
rozjazdowej.
4. Podczas czynności pomiaru punktów drogi rozjazdowej należy pomierzyć bezpośrednio długości i skosy rozjazdów oraz odległości między rozjazdami.
§35
Projekt regulacji drogi rozjazdowej
1. Projekt regulacji drogi rozjazdowej można wykonywać metodą numeryczną z zastosowaniem narzędzi informatyki.
2. Zaleca się, by uzyskane w wyniku optymalizacji projektu przesunięcia podłużne i poprzeczne rozjazdów były wnoszone na szkic pomiaru drogi rozjazdowej np.: kolorem czerwonym z podaniem kierunku i wielkości przesunięcia.
3. Projekt regulacji drogi rozjazdowej uzgadnia Zakład Infrastruktury Kolejowej.
4. Projekt regulacji musi zawierać miary przeniesienia projektu na linię słupów trakcyjnych lub linię znaków poziomej osnowy pomiarowej.
5. W wyniku opracowania projektu regulacji należy sporządzić szkic wytyczenia drogi rozjazdowej, podając sposób wytyczenia drogi od linii słupów trakcyjnych lub znaków osnowy pomiarowej (Zał.Nr3 ).
6. Szkic wytyczenia drogi rozjazdowej (szkic realizacyjny), Wydział Geodezji przekazuje do Zakład Infrastruktury Kolejowej i stanowi on podstawę do prowadzenia napraw torów w drodze rozjazdowej.
7. Projekt regulacji rozjazdów należy w miarę potrzeb zastabilizować ziemnymi znakami regulacji.
§36
Dokumentacja odbioru robót torów i rozjazdów po naprawach.
1. Dokumentację odbioru torów i rozjazdów po naprawach stanowią wyniki pomiarów sprawdzających wykonanych robót - sporządzone przez wykonawcę.
2. Wyniki sprawdzających pomiarów torów i rozjazdów po naprawach są podstawowymi warunkami stanowiącymi o jakości napraw i warunkującymi ich odbiór.
3. Wykonawca zobowiązany jest po zakończeniu napraw (bieżąca, główna, modernizacja) przekazać zamawiającemu wyniki sprawdzających pomiarów torów i rozjazdów. Wyniki te przechowywane są w Zakładzie Infrastruktury, na terenie którego znajdują się naprawiane budowle.
4. Przy modernizacji (przebudowie) linii (stacji) wykonawca zobowiązany jest wykonać aktualizację mapy sytuacyjnej i profilu podłużnego.
5. Komisja odbioru robót zobowiązana jest do wykonania pomiarów sprawdzających na dowolnie wybranych odcinkach toru stanowiących minimum 5% długości odbieranych robót. Lokalizację i zakres robót określa przewodniczący komisji odbioru. W komisji odbioru uczestniczy przedstawiciel Wydziału Geodezji.
6. Szczegółowy zakres pomiarów i sposób ich wykonania dla poszczególnych rodzajów napraw regulują odrębne przepisy i instrukcje służbowe. Inwestor może zlecić wykonanie dodatkowych pomiarów decydujących o jakości wykonawstwa i determinujących odbiór robót.
7. Przy wykonywaniu naprawy bieżącej zespołem wysoko
wydajnych maszyn torowych pomiary obejmują:
1) na prostej:
a. sprawdzenie położenia osi toru do znaków regulacji osi
toru,
b. sprawdzenie prostoliniowości toru między znakami regulacji
osi toru poprzez bezpośrednie tyczenie teodolitem co 10m.,
2) na krzywiznach:
a. sprawdzenie położenia osi toru do znaków regulacji osi
toru,
b. pomiar strzałek w zależności od promienia łuku §27 pkt
4. i sporządzenie wykazu różnic sąsiednich strzałek z
uwzględnieniem przyrostu strzałki na krzywej przejściowej.
8. Inwestor może rozszerzyć zakres pomiarów o sprawdzenie położenia toru w profilu oraz pomiar ław torowiska w przypadku ich renowacji.
9. Przy wykonywaniu naprawy głównej i modernizacji pomiary
obejmują:
1) położenie toru w planie:
a. na prostej;
- sprawdzenie położenia osi toru do znaków regulacji osi toru,
- sprawdzenie prostoliniowości toru między znakami regulacji
osi toru poprzez bezpośrednie tyczenie teodolitem co 10m.,
b. na krzywiznach:
- sprawdzenie położenia osi toru do znaków regulacji osi toru,
- sprawdzenie prostoliniowości toru między znakami regulacji
osi toru poprzez bezpośrednie tyczenie teodolitem co 10m.,
c. przy korektach położenia toru sprawdzenie skarp
nasypów i wykopów
2) położenie toru w profilu:
a. sprawdzenie odchylenia w stosunku do niwelety na znakach
regulacji
b. sprawdzenie położenia toru w stosunku do niwelety
projektowanej poprzez wykonanie niwelacji co 10m.
3) pomiar ław torowiska w planie i profilu co 100m. w
stosunku do przekroju normalnego,
4) inwestor może rozszerzyć zakres pomiarów o pomiar
szerokości międzytorza i sprawdzenia skrajni budowli.
10. Przy naprawie głównej i modernizacji odwodnienia:
1) sprawdzenie spadków podłużnych rowów odwadniających,
2) sprawdzenie spadków poprzecznych skarp nasypów ,
przekopów,
3) pomiar ław torowiska w planie i w profilu w stosunku do
przekroju normalnego.
11. Przy naprawie głównej i modernizacji torów stacji
rozrządowych pomiary obejmują:
1) położenie toru w planie:
a. na prostej - pomiar teodolitem co 10m.,
b. na łuku - pomiar strzałek przy zastosowaniu metody
długich cięciw (do 90m.)w odstępach co 5m
2) położenie toru w profilu - sprawdzenie do niwelety
projektowanej poprzez wykonanie niwelacji co 10m., a w strefie
górki rozrządowej co 5m. zaczynając 30m. przed grzbietem
górki.
3) rozstaw torów - w odstępach co 30m.,
4) skrajnia budowli - przez pomiar odległości do obiektów
stałych, słupów trakcyjnych i sygnalizatorów,
5) Inwestor może rozszerzyć zakres pomiarów o sprawdzenie
miejsc ustawienia ukresów i sprawdzenie długości torów oraz
sprawdzenie elementów odwodnienia.
12.Pomiary do odbioru rozjazdów obejmują:
1) położenie rozjazdów w planie - przez sprawdzenie co
5m. prawidłowego położenia toku zewnętrznego toru prostego
rozjazdu w nawiązaniu do znaków regulacji osi toru łącznie z
odcinkami oddalonymi o 10m. od początku i końca rozjazdu
2) położenie rozjazdu w profilu - przez niwelację obu
toków szynowych kierunku prostego rozjazdu (zasadniczego)
łącznie z odcinkami przyległymi do kierunku zasadniczego na
odległość 10m.,
3) sprawdzenie krzywizny toru zwrotnego - przez pomiar
strzałek wykonany na cięciwie opartej na toku łukowym toru
zwrotnego rozjazdu,
4) Inwestor może zlecić sprawdzenie krzywizny toru
zwrotnego również metodą współrzędnych prostokątnych.
12.Wyłukowania najczęściej występujących typów rozjazdów .
1) Wyłukowanie Rz S60 (S49)-190-l:9 pss -rys. 12

Rys.12
3) Wyłukowanie Rz S60 (S49)-300-l:9 pss - rys. 13

Rys. 13
3) Wyłukowanie Rz S60 (S49)-500-l:12 pss-rys. 14

Rys. 14
4) Wyłukowanie Rz S60-760-1:14 pss - rys. 15

Rys. 15
5) Wyłukowanie Rz S60-1200-l:18.5 pss -rys. 16

Rys. 16
6) Wyłukowanie Rz S49-190-l:9 pc - rys. 17

Rys.17
7) Wyłukowanie Rz S49-190-1-.7.5 pc, Rz S49-190-l:6.6 pc -rys. 18

Rys.18
8) Wyłukowanie Rz S49-300-l:9 pc - rys. 19

Rys.19
9) Wyłukowanie Rz S49-500-l:12 pc -rys. 20

Rys. 20